MicroRNAs as Potential Markers for Advantageous Perfusion in a Preclinical Donation after Cardiac Death Animal Model of Oxygenated Hypothermic Machine Perfusion (HOPE)
Victoria Gómez-Dos-Santos 1, †, *
, Vital Hevia-Palacios 1
, Edurne Ramos-Muñoz 2
, María Laura García-Bermejo 2, †
, Esperanza Macarena Rodríguez-Serrano 2
, Ana Saiz-González 3
, José Manuel Del Rey-Sánchez 4
, Francisco Javier Burgos-Revilla 1![]()
- Urology Department, Hospital Ramón y Cajal, IRYCIS, Carretera de Colmenar Km 9,100, 28034 Madrid, Alcalá University, Spain
- Biomarkers and Therapeutic Targets Group, IRYCIS, Hospital Ramón y Cajal, Carretera de Colmenar Km 9,100, 28034; Madrid, Spain
- Pathology Department, IRYCIS, Hospital Ramón y Cajal, Carretera de Colmenar Km 9,100, 28034, Madrid, Alcalá University, Spain
- Biochemistry Department, Hospital Ramón y Cajal, IRYCIS, Carretera de Colmenar Km 9,100, 28034, Madrid, Spain
† These authors contributed equally to this work.
* Correspondence: Victoria Gómez-Dos Santos![]()
Received: March 22, 2018 | Accepted: May 21, 2018 | Published: June 12, 2018
OBM Transplantation 2018, Volume 2, Issue 2 doi:10.21926/obm.transplant.1802012
Academic Editor: Mazhar A. Kanak
Special Issue: Biomarkers in Transplantation
Recommended citation: Gómez-Dos-Santos V, Hevia-Palacios V, Ramos-Muñoz E, García-Bermejo ML, Rodríguez-Serrano EM, Saiz-González A, Rey-Sánchez JMD, Burgos-Revilla FJ. MicroRNAs as Potential Markers for Advantageous Perfusion in a Preclinical Donation after Cardiac Death Animal Model of Oxygenated Hypothermic Machine Perfusion (HOPE). OBM Transplantation 2018;2(2):012; doi:10.21926/obm.transplant.1802012.
© 2018 by the authors. This is an open access article distributed under the conditions of the Creative Commons by Attribution License, which permits unrestricted use, distribution, and reproduction in any medium or format, provided the original work is correctly cited.
Abstract
Background: Extended criteria donors and donation after cardiac death donors provide organs which tend to be more sensitive to the stress of preservation. There is a lack of evidence about the potential role of oxygen in preservation techniques, and literature comparing oxygenated and non-oxygenated techniques is very limited. The aim of the study was to compare HMP with oxygen versus HMP without oxygen in a pig model of kidney auto-transplantation (KT) reproducing conditions of DCD. We have also set up miRNAs expression in preservation solution and kidney biopsies as useful biomarkers for allograft response to perfusion conditions. Methods: A randomized non blinded prospective cohorts study was established in an orthotopic auto-transplantation model mimicking Maastricht type III DCD under hypothermic machine perfusion (Life-port® kidney transporter). Real time PCR detection was performed using SYBR Green and specific commercially available probes for each miRNA of interest in preservation solution and kidney biopsies from non-oxygenated and oxygenated grafts. Sample size calculation was done attending to Mead's resource equation sample for two treatment groups. Data were expressed as median (IQA / Range) and assessed for statistical significance by Mann–Whitney U-test. Results: Somewhat better kidney function and survival results were reached in the oxygenated group. Furthermore, a selection set of miRNAs constituted by miR-29a, miR27a, miR-101, miR-126 and miR-10a, modified its expression most significantly. These miRNAs are related to cell adhesion, intracellular trafficking and kidney fibrosis, and showed a differentially expression between oxygenated and non-oxygenated HMP preservation solution of kidney grafts. Conclusions: miRNAs differential profile in preservation solution during HMP attending to oxygenation reflects a better metabolic state in oxygenated grafts. The descripted miRNAs signature could be a potential predictive biomarker of the cellular metabolic state and kidney function.
Keywords
Donation after cardiac death (DCD); pig auto-transplantation model; oxygenated hypothermic machine perfusion (HOPE); microRNAs; ischemia-reperfusion injury
1. Introduction
Kidney transplantation (KT) is the treatment of choice for patients with end-stage renal disease, providing long-term benefits in terms of patient survival and quality of life [1,2]. However, the increasing shortage of organs has led to the acceptance of donors with higher risks, such as expanded criteria donors (ECD) and donation after circulatory death (DCD). The kidneys from high risk donors tend to be more sensitive to the stresses of preservation leading to increased rates of delayed graft function (DGF) and primary non-function (PNF) [3,4,5]. Hypothermic machine perfusion (HMP) improves the functional kidney graft results post-KT in the clinic [6] and is particularly efficient at decreasing both PNF and DGF in ECD grafts [7,8], as well as DGF in DCD transplantation [9].
It has been suggested that stores of adenosine triphosphate (ATP) are depleted during hypothermic preservation, leading to accumulation of toxic substances and ultimately apoptosis and necrosis. Oxygen consumption by kidney tissue decreases with decreasing temperature but does not completely stop under cold storage (4°C). Additional oxygen may support the mitochondrial synthesis of ATP and in turn, may delay the injury process. Some studies show that ATP can be restored to normal levels with the addition of oxygen during cold preservation, although the optimal level of oxygenation remains unclear [10,11]. The mitochondrial respiration rate decreases substantially during the first hour of hypothermic oxygenated perfusion. Due to reduced mitochondrial electron transfer rates during hypothermic oxygenated perfusion, any exposure to oxygen after machine perfusion during normothermic reperfusion leads to low level mitochondrial electron leakage, resulting in the release of small amounts of reactive oxygen species (ROS) and nuclear danger-associated proteins (DAMPs) [12].
The principle of hypothermic preservation is to reduce the temperature below 10°C to decrease metabolism to approximately 10% and to reduce the oxygen requirement. However, the potential benefit of oxygen supplementation to support this low metabolic rate under these conditions is a subject for debate. Oxygenated preservation techniques might be particularly beneficial in kidneys that have suffered a period of warm or cold ischemia, such as ECD and DCD grafts. Oxygenated HMP combines active circulation of dissolved oxygen with fluid perfusion.
Currently, renal flow rate and vascular resistance are the only accepted indicators of kidney viability during HMP [13,14,15]. A number of biochemical parameters and ischemic injury markers have been quantified in the renal effluent; however, they are not fully established, and their role in predicting kidney function in vivo is still controversial [13,16,17].
MicroRNAs (miRNAs) are post-transcriptional regulators that form the basis of the pathophysiological mechanism of a wide range of disorders, including nephropathies. Recently, several miRNAs have been identified and characterized as key mediators of the proximal tubule response to ischemia-reperfusion (I/R) injury by our collaborators [18,19]. Moreover, studies have noted the potential use of these miRNAs as diagnostic, prognostic and predisposition biomarkers of acute kidney injury (AKI) [18,19].
The aim of this study was to compare HMP with and without oxygen in a pig model of kidney auto-transplantation that reproduces the conditions of DCD transplantation. We also evaluated miRNA expression in the kidney preservation solution and kidney biopsies and identified a select group as useful biomarkers of allograft responses to perfusion conditions. These markers can be used to improve the use of marginal donor kidneys and to reduce the current renal discard rate.
2. Materials and Methods
2.1 Animal Characteristics
A total of 12 female pigs (age 3.5–6.5 months; weight 40–50 kg) were obtained from a commercial farm (Agropardal S.L.; Cuenca; Spain). Female pigs were selected to minimize androgenic influences and to facilitate easy bladder catheterization. Animals were subjected to pre-operative fasting (without solid food and free access to water) for 6–8 hours, which was sufficient to empty the upper gastrointestinal tract.
The surgical protocols were performed in accordance with the Spanish Royal Decree 53/2013, 1 February. The experimental protocol was approved by the local Ethics Committee for Animal Experimentation (Exp 14/2014. University Hospital Ramón y Cajal. Madrid. Spain).
2.2 Experimental Animal Model
An orthotopic auto-transplantation model mimicking Maastricht type III DCD transplantation was developed.
On day 1, general anesthesia consisting of opioids and muscle relaxants was delivered intravenously and left kidney exposure was then performed via a midline laparotomy. The kidney was retrieved after renal artery clamping for 30 min (warm ischemia). Subsequently, the organ was cold flushed under gravity at 4°C with Celsior® (Genzyme, Cambridge, MA, USA), which is the solution most commonly used in our clinical transplantation program. A wedge biopsy was taken for the histological and miRNA analyses. The kidneys were preserved for 22 h.
Two randomized, open groups were generated by computerized random digits. In the non-oxygenated group (HMPnoO2), the donor organ was perfused by the LifePort® kidney transporter device (ORS, Itasca, IL, USA), without active oxygenation at a constant pressure of 30 mmHg (n = 7). In the active oxygenation group (HMPO2), the donor organ was perfused by the same device with active oxygenation (100% oxygen) provided through a hollow-fiber membrane oxygenator (Dideco Kids D100 neonatal oxygenator, Sorin Group, CO, USA) built into the sterile disposable tubing set (n = 5). The perfusion solution used for HMP was KPS-1 (ORS, Itasca, IL, USA). The perfusion parameters were recorded at 1, 30 and 60 min after HMP was terminated. Serial preservation solution samples were collected at baseline, as well as after 1, 30, 60 and 120 min of perfusion, and at the end of HMP for gasometry and miRNA expression analyses.
On day 2 after the end of HMP, a second wedge biopsy was taken. Subsequently, right nephrectomy and auto-transplantation with the perfused left kidney were performed (Figure 1).
The animals were scheduled for sacrifice at day 15 by means of lethal injection (thiopental sodium and potassium chloride), and kidney grafts were obtained for histopathological evaluation.
2.3 MiRNA Quantification Assays of the Preservation Solution and Animal Biopsies
The renal perfusion solution was centrifuged at 1,000 ×g for 5 min at 4°C and stored at -80°C prior to the analysis. Total RNA was extracted from a sample of 200 µl using the miRNeasy mini kit (Qiagen; Hilden. Germany). A sample of the eluted RNA (4 µL) was used as a template for generation of cDNA by reverse-transcription using the Universal RT miRNA PCR System (Exiqon; Vedbaek. Denmark). The cDNA was diluted 1/11 with nuclease-free sterile water, and 4 µl was used as template for the PCR reactions performed using SYBR Green and specific commercially available probes (Exiqon) for each miRNA of interest. Quantitative real-time PCR (qRT-PCR) was performed using the Light Cycler 480 system (Roche; Basilea. Switzerland) according to the manufacturer`s instructions. Exogenous UniSP2 added prior to RNA extraction was used as a technical housekeeping gene. All reactions were carried out in triplicate and miRNA expression was expressed as fold-induction, calculated using the 2-ΔΔCT formula = (miRNA test – technical housekeeping gene miRNA) – (miRNA basal – technical housekeeping gene miRNA).
Total RNA was extracted from renal paraffin-embedded biopsies using the miRNeasy FFPE Kit (Qiagen), and miRNAs were quantified as described in section 2.3 using 5s and RNU6b as housekeeping genes.
A combination of miRNAs with high diagnostic value in ischemic AKI damage was previously described by our group [20]. The panel comprised the following miRNAs: miR-210, miR-126, miR-127, miR146, miR-10a, miR-101 miR-93, miR-27a, miR-26b and miR-29a.
/obm-transplantation-0090-20180612-sherry_li_1__html_eb15ff7d.jpg)
Figure 1 Experimental study algorithm. The different determinations and protocols used in this study are shown.
2.4 Renal Function Evaluation
For each animal, serum urea and creatinine were measured in blood samples obtained via the jugular catheter from the first postoperative day to the last day of survival. Serum creatinine and urea were estimated by colorimetry assays (Architect Analyzer c16000. Abbott Diagnostics) and were expressed as median (IQA) values in mg/dl.
2.5 Histopathology Studies of Animal Biopsies
Histopathology studies and biopsy sample gradation were performed by a single pathologist specialized in renal pathology and blinded to the treatment group allocation and results post-KT. The renal tissue structure in embedded-paraffin pre- and post-perfusion biopsies was evaluated for possible alterations associated with perfusion and oxygen supply. Biopsy collection was undertaken at two time-points: immediately after kidney harvesting and cold flushing before the graft was connected to the LifePort® (pre-perfusion) and immediately after finishing the HMP preservation (post-perfusion). At the time of sacrifice, kidney grafts were obtained for histopathological studies. The specimens were fixed in 4% buffered formalin, dehydrated, embedded in paraffin and stained with hematoxylin-eosin (H&E, Sigma) for light microscopic evaluation. Renal injury was scored by an experienced pathologist who was blinded to the groups. Three morphologic parameters indicating renal parenchymal injury (inflammation, ischemic necrosis and acute tubular necrosis) were assessed. A four-point scale was applied for each parameter based on the percentage of the visual field affected by lesions: 0 = no damage; 1 = 25%; 2 = 25%–50%; 3= >50%.
2.6 Statistical Analysis
Sample sizes were calculated according to Mead’s resource equation for the two treatment groups (E = N-B-T where N = 14-1; B = 0; T = 2-1). All statistical analysis was performed using SPSS (IBM Corporation) version 15.0. Data were expressed as medians and interquartile distance and range (IQA/IQR) and were assessed for statistical significance by unpaired Student’s t-tests in cases of normally distributed data and equality of variance or Mann–Whitney U-tests in cases where these parameters were not met. P < 0.05 was considered to indicate statistical significance. Missing values were deleted.
3. Results
The experimental model was established in 12 animals using a Life-Port® kidney transporter device and a pediatric hollow-fiber membrane oxygenator. In each group, there was a significant increase in flow and a decrease in resistance between the beginning and the end of preservation (Table 1) that did not reach a stable state until after four hours of perfusion (Figure 2). There were no significant differences between groups in terms of flow or resistance.
In the HMPnoO2 group, the pO2 of the preservation solution during HMP steadily decreased from 165.5 mmHg (152.0; 185.0) to 94.5 mmHg (90.0; 131.0) by 22 h. In the HMPO2 group, an initial increase from 170.0 mmHg (152.0; 171.0) to 283.0 mmHg (186.0; 345.0) was detected, followed by a decrease to 174 mmHg (132.0; 799.0) (Table 2).
Table 1 Perfusion parameters during preservation. Data represent the mean of all measurements (CI 95%)

/obm-transplantation-0090-20180612-sherry_li_1__html_ebc74121.png)
Figure 2 Hypothermic machine perfusion (HMP) flow and renal resistive index (RI) evaluation. Flow (A) and RI (B) were estimated directly by the perfusion machine and absolutes values average along perfusion are represented, in oxygenated (HMPO2) and non-oxygenated (HMPnoO2) animals.
Table 2 The pO2 levels in preservation solution at three different time-points.

The release of lactate dehydrogenase (LDH) into the perfusion solution indicating cell injury during HMP was similar in both groups: HMPnoO2 19.0 U/L (10.0; 94.0) and HMPO2 24.5 U/L (10.0; 93.0) (P = 0.92).
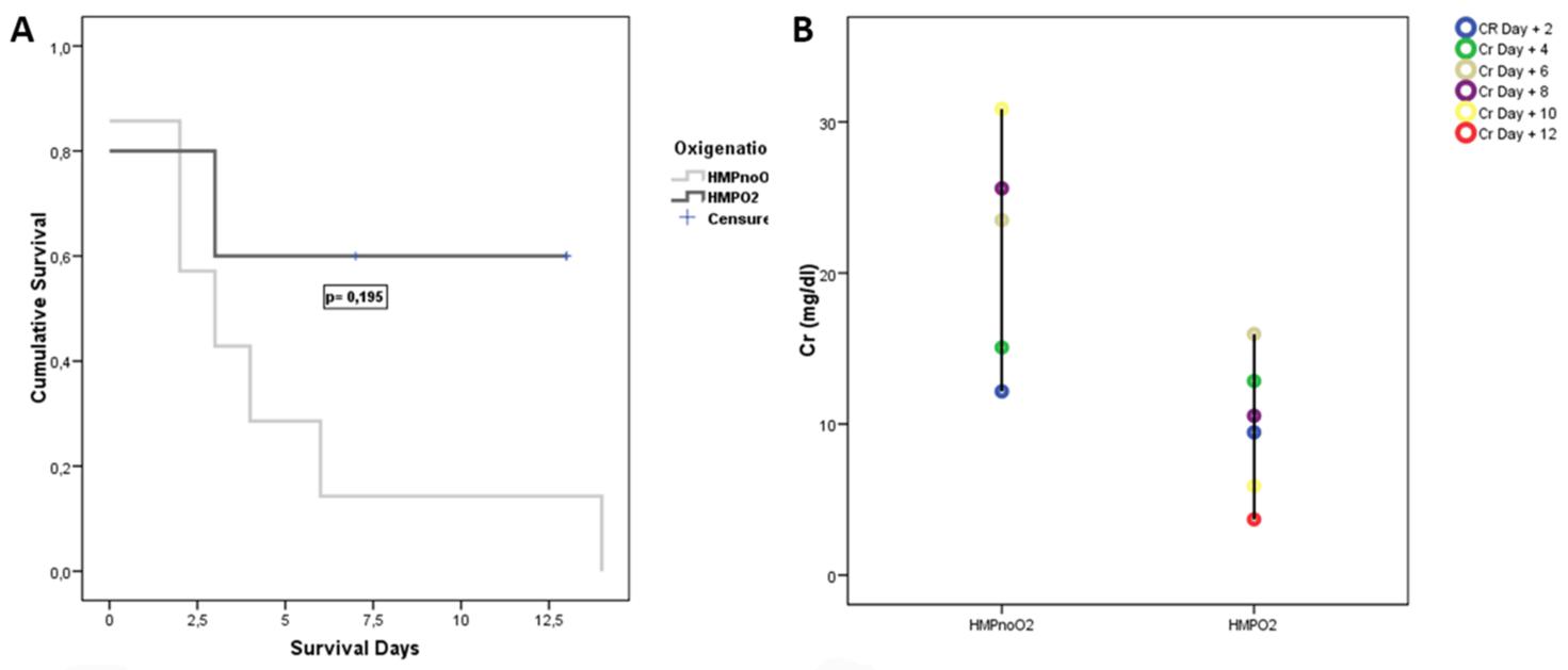
The contralateral nephrectomy on the day of the transplant permitted the use of post-KT serum creatinine levels to measure the ability of the graft to resume its function. A trend toward lower serum creatinine at day 3 post-KT was shown in the HMPO2 group compared to its HMPnoO2 counterpart: (9.5 mg/dl (IQR 4.3) vs. 12.2 (IQR 2.9) P = 0.088), respectively (Figure 3B). Survival was longer in the HMPO2 group (7 days [IQR 12] vs. HMPnoO2 3 days [IQR 4]: P = 0.462) (Figure 3A).
/obm-transplantation-0090-20180612-sherry_li_1__html_da68b7f7.jpg)
Figure 3 The presence of oxygen in preservation solution leads to longer animal survival and improved renal function A) Days of survival in HMPnoO2 and HMPO2 groups. B) Creatinine evolution in the HMPnoO2 and HMPO2 groups. Serum creatinine was estimated by colorimetric assay (Architect Analyzer c16000. Abbott Diagnostics. Illinois. USA). Data are expressed as median values in mg/dl in each animal in the HMPnoO2 and HMPO2 groups.
Paraffin-embedded biopsies from renal tissues taken pre- and post-perfusion all appeared normal on visual inspection (Figure 4). The histological findings of the pathologic specimens at sacrifice are summarized in Table 3. Cases exhibiting ischemic necrosis (IN) as an expression of maximal damage were observed only in the HMPO2 group, and 3 of 5 (60.0%) of animals in this group showed normal histology. In contrast, 3 of 7 (42.9%) animals in the HMPnoO2 group presented IN findings and two more showed severe grade (G3) ATN. Animal 8 presented early and extensive interstitial fibrosis, giant cells and calcium deposits and animal 12 was sacrificed intra-operatively.
The expression levels of miRNAs miR29a, miR101, miR27a, miR-126 and miR-10a were the most significantly modified. The expression of most of the miRNAs was higher in the presence of oxygen (Figure 5A). As shown in Figure 5B, miRNA secretion was initially higher in the HMPnoO2 group than that in the HMPO2 group. However, the total amount of miRNA detected in the preservation solution at the end of perfusion was higher in the HMPO2 allografts. As shown in Figure 5A and 5B, significantly increased levels of the miRNAs relative to the basal levels was detected only after 20 h of perfusion (P ≤ 0.05).
/obm-transplantation-0090-20180612-sherry_li_1__html_457a629b.jpg)
Figure 4 Paraffin-embedded biopsies from renal tissue taken pre- (A) and post- (B) perfusion appeared normal on visual inspection. Renal structure was evaluated by hematoxylin-eosin staining. Representative images obtained by phase-contrast microscopy are shown. Magnification: 40x
Table 3 Histologic evaluation at sacrifice. HMPO2 group data are shown in gray. Animal 8 presented early and extensive interstitial fibrosis, giant cells and calcium deposits. Animals 9 and 12 were sacrificed intra-operatively. AII: Acute interstitial inflammation; ATN: Acute tubular necrosis; IN: Ischemic necrosis. * Extensive interstitial fibrosis, giant cells and calcium deposits. ** Intraoperative sacrifice

To establish whether these differences in the miRNA expression detected in the perfusion fluids was the result of expression induction or was due to an increase in secretion, we analyzed the expression of the miRNAs in paraffin biopsies of renal tissue taken pre- and post-perfusion. The grafts show no significant differences in the expression of miRNAs in renal biopsies taken pre- and post-perfusion in either the HMPnoO2 or HMPO2 groups. These results indicated that oxygen supply predominantly promotes miRNA secretion into the perfusion solution rather than inducing the expression of miRNA in the renal tissue.
/obm-transplantation-0090-20180612-sherry_li_1__html_fc44f989.jpg)
Figure 5 MiRNA levels detected in the preservation solution are affected by the presence of oxygen. MiRNA levels were determined by qRT-PCR after total RNA extraction from preservation solution. (A) MiRNA levels in preservation solution at the end of perfusion in comparison with basal levels. *P ≤ 0.05. (B) MiRNA levels in preservation solution during the period of perfusion.*P ≤ 0.05.
4. Discussion
The aim of this study was to determine the effect of oxygen on HMP in a pig model of kidney auto-transplantation (KT) to reproduce the conditions of DCD. MiRNA expression was measured in preservation solution and kidney biopsies as biomarkers of I/R injury. The data presented in this study confirm our previous demonstration that miRNAs can be extracted and measured in HMP fluid samples [20]. Moreover, oxygen supply was shown to translate to a different miRNA expression profile in perfusate samples compared with that in HMPO2 grafts. The beneficial effect of this outcome on I/R-associated injury has also been shown in several other experimental models indicated a [11,12].
HMP has been shown to reduce the incidence of DGF compared with the use of static cold storage [6,7,9]. Although the mechanisms underlying the benefits of HMP are not completely understood, these could include the maintenance of energetic homeostasis during ischemic preservation, the reduction in the shear stress in the vessels and the control of acidosis [21].
The surgical conditions adopted in our study are similar to those used for human patients in our clinical DCD type III program, allowing a high degree of translatability of our results. The warm ischemia time was set at 30 min through exclusive arterial clamping, in an attempt to mimic arterial hypotension. In fact, according to the Spanish Transplant National Organization, the median total warm ischemia time in DCD was 28 min, which is similar to the time used in our experimental model [22]. In the present study, the oxygen content of the perfusion µ ≤solution was the only parameter varied between the two experimental groups; therefore, we assumed that the effects observed are linked to oxygen availability.
In this study, we hypothesized that HMPO2 has a favorable influence on the function and cellular structure of the transplanted organ. In contrast to the findings of other studies [23,24], no differential cellular damage was detected during HMP by measuring the preservation solution levels of LDH, a commonly used biomarker [13,16,17]. A possible disadvantage of our study is a low pO2 level reached during HMP. A steady decrease in pO2 in the preservation solution was observed during HMP in the HMPnoO2 group while, in the HMPO2 group, the initial increase in pO2 was followed by a decrease. Some studies suggest that pO2 must be kept at 100 kPa (approximately 750 mmHg) to facilitate adenosine triphosphate (ATP) production [25,26]; however, the pO2 levels reached in these studies were not reported, and the optimum level of oxygen required for beneficial effects in HMP is unclear.
The application of oxygen should foster the ability of cells to generate ATP. However, an accepted limitation of hypothermic tissue oxygenation is the potential for generation of oxygen free radicals. Nevertheless, several recent studies have confirmed that there is no increase in ROS during hypothermic oxygenated perfusion. Schlegel et al. developed a rodent model of DCD KT in which the organs were treated with HOPE for 1 h after 18 h in cold storage [11]. The kidneys showed a minimal release of DAMPs or ROS during cold perfusion despite high oxygen saturation in the perfusate, while ATP levels increased significantly with HOPE treatment. After implantation, all the HOPE-treated kidneys presented with significantly less injury compared with those associated with the cold storage and normothermic perfusion conditions in terms of the following factors: ROS oxidized nuclear DNA (8-OHdG) and high mobility group box-1 protein (HMGB-1) release; Toll-like receptor activation (TRL-4); endothelial activation by von Willebrand factor (vWF) and endothelin 1 (Edn-1) determination; and tubular injury visualized by H&E staining. Kron et al. summarized the changes in mitochondrial respiration and I/R injury markers. The observation of decreased metabolism of nicotinamide adenine dinucleotide (NADH) and decreased production of CO2 indicated that mitochondrial respiration rates decreased substantially during the first hour of hypothermic oxygenated perfusion. Due to reduced mitochondrial electron transfer rates during hypothermic oxygenated perfusion, any exposure to oxygen during normothermic reperfusion leads to small amounts of mitochondrial electron leakage. Therefore, our results also indicate a minor release of ROS and nuclear DAMPs and provide evidence that oxygen supplied under cold conditions is a key strategy to decrease early reperfusion injury [12].
Several studies have identified a number of possible markers of ischemic injury in preservation solution during HMP, including perfusion parameters, although their utility in predicting outcomes has been limited [13,16,17]. The data presented here are in accordance with those of other studies showing a constant decrease in RI and an increase in flow in both the HMPO2 and HMPnoO2 groups, with no significant difference between the two groups [23,24]. As we have reported previously, the perfusion parameters were not correlated with renal function [14,15,16].
MiRNAs represent small non-coding RNA transcripts that function in the repression of genes and protein expression and/or the translational inhibition of protein synthesis [27]. We previously identified a panel of miRNAs consisting of miR-210, miR-126, miR-127, miR-146, miR-10a, miR-101 miR-93, miR-27a, miR-26b and miR-29a as AKI biomarkers in clinical practice [19]. A sub-set of these miRNAs comprising miR-29a, miR27a, miR-101, miR-126 and miR-10a showed the most significantly modified expression in our model. The miRNAs expression in the preservation solution was increased in HMPO2 animals. To the best of our knowledge, this is the first report of a set of allograft-related miRNAs that exhibit differential expression in response to preservation conditions. Although the statistical analysis of is limited by the sample size, these miRNAs are implicated as potentially useful biomarkers for allograft evaluation during preservation since these miRNAs appear to have biological involvement in the clinical context of our study.
Genome-wide profiling studies have demonstrated that some of these miRNAs (miR-10a, miR-27a, miR-29a, miR-101 and miR-210) are highly expressed in human kidney tissue [28]; remarkably, the secretion of 4 out of 5 (miR-29a, miR-10a, miR-27a and miR101) was significantly modulated during HMP in our study. Complementary sequence analysis allows identification of the putative targets of different miRNAs, some of which have already been validated in several cellular systems systems as mitarbase demonstrated (http://miRTarBase.mbc.nctu.edu.tw/). Functional analysis of cellular pathways integrating these targets revealed that miR-101 is associated with kidney development, cell adhesion and endocytosis; miR-10a is linked to adherent junction, focal adhesion and endocytosis; and similar to miR-101, miR-126 is linked to kidney development, as well as microtubule-based transport and cell-cell adherent junctions [29]. The integrity of the renal peritubular capillary network is an important limiting factor in the recovery from renal I/R injury. MiR-126 has been shown to improve vascular regeneration by mobilizing hematopoietic stem/progenitor cells, while miR-27a plays an important role in the maintenance of epithelial characteristics by regulating EFGR, among other important epithelial genes [29]. In summary, this set of miRNAs is associated with tubular epithelium cell adhesion and intracellular trafficking, which are the two of the main mechanisms related to acute tubular necrosis, as well as with epithelial phenotype maintenance and repair. Finally, miR-29a is associated with the regulation of kidney fibrosis and chronic kidney disease (CKD) progression. MiR-29a expression prevents fibrosis by repressing the expression of collagens I and IV at both the mRNA and protein levels, which inhibits extracellular matrix deposition in the renal parenchyma [29]. Thus, it can be speculated that the increased miR-29a levels in the HMPO2 preservation solution inhibit graft fibrosis post-KT.
It has recently been reported [30] that miR21 expression estimated by qRT-PCR in HMP perfusates correlates with long-term GFR. MiR-21 is not included in the selected miRNA set since it does not exhibit significant changes in the serum from AKI patients; however, miR-21 is related to ischemic lesions in a mouse model of I/R [31].
Compared with the HMnoPO2 group, HMPO2 grafts exhibited smaller differences in miRNA expression in renal biopsies taken post- and pre-perfusion. Tissue miRNAs and those secreted in different body fluids, or in this case in preservation solution, could have different biological significance and functions. Secretion of miRNA into extracellular fluids is a selective process; therefore, secreted miRNA profiles do not reflect those of the parental cells. It can be hypothesized that it is the differences in the profile of miRNAs expression resulting from oxygenation during HMP that are important in the beneficial effects of this process.
In terms of morphologic alterations, paraffin-embedded biopsies taken from renal tissue pre- and post-perfusion were visually normal, and we were unable to identify any structural differences; in contrast, other studies have identified some degree of morphological change, predominantly in the form of tubular dilatation [23], which is a mild sign of acute tubular necrosis.
The increased use of ECD and DCD organs has increased the risk of poor outcomes due to extensive damage and has increased the discard rate. A reliable method for objective assessment of organ viability is therefore needed prior to transplantation. Identification of a non-invasive biomarker of damage, such as I/R injury, may enable the selection of effective management strategies for recipients. Such biomarkers may also facilitate testing of potential treatments to attenuate I/R injury and to reduce the risk of DGF and PNF. MiRNAs are becoming increasingly important biomarkers of multiple disease or damage processes, including kidney injury and KT.
The main limitations of the study were the small sample size and the short-term follow-up, which restrict the conclusions that can be drawn about long-term outcomes for HOPE. Additionally, limited animal survival could jeopardize the accuracy of the results. Although the optimal levels of oxygenation remain unclear, different studies have shown better results in terms of both improved viability and transplantation outcomes with higher O2 levels than those reached in our study. Conceivably, O2 pressure determination by means of gasometry was not sufficiently accurate, and could be improved by the use of a microfiber optic oxygen transmitter.
5. Conclusions
The present study showed that differential miRNA secretion profiles between HMPO2 and HMPnoO2 kidney grafts. Furthermore, the detected levels of these miRNAs may be predictive of cellular metabolism, representing cell adhesion and intracellular trafficking modifications and, in certain cases, kidney fibrosis regulation and CKD progression. Although the differences were not significant, there was a trend toward longer survival of HMPO2 grafts. As a measure of post-KT function, creatinine levels exhibited a tendency toward lower levels in animals transplanted with HMPO2 perfused grafts.
There is a need for further investigation of the mechanism underlying the use of oxygen during HMP and the influence in IRI. This information is important for the development of new tools to improve organ preservation quality and allograft monitoring, therefore allowing the use of more marginal organs.
Acknowledgments
The authors thank Organ Recovery Systems (Itasca, IL, USA) for providing the LifePort® kidney transporter device and disposables and particularly, Peter DeMuylder for technical assistance.
Author Contributions
Study concept and design: Victoria Gómez–Dos Santos, Francisco Javier Burgos–Revilla, María Laura García–Bermejo, Vital Hevia Palacios; Acquisition of data: Victoria Gómez–Dos Santos, Vital Hevia–Palacios, María Laura García Bermejo, Edurne Ramos–Muñoz, Esperanza Macarena Rodríguez–Serrano, Ana Saiz González, José Manuel Del Rey Sanchez; Analysis and interpretation of data: Victoria Gómez–Dos Santos, Francisco Javier Burgos–Revilla, María Laura García–Bermejo, Edurne Ramos–Muñoz, Vital Hevia Palacios, Ana Saiz González, José Manuel Del Rey Sánchez; Drafting of the manuscript: Victoria Gómez–Dos Santos, María Laura García–Bermejo, Vital Hevia Palacios; Critical Revisión of the Manuscript: Francisco Javier Burgos–Revilla, Vital Hevia Palacios, Edurne Ramos Muñoz, Esperanza Macarena Rodríguez–Serrano, Ana Saiz González, José Manuel Del Rey Sánchez; Statistical analysis: Victoria Gómez–Dos Santos; Obtaining funding: Victoria Gómez–Dos Santos; Technical or material support: Vital Hevia–Palacios, Edurne Ramos–Muñoz, Esperanza Macarena Rodríguez–Serrano, Ana Saiz González, José Manuel Del Rey Sánchez.
Funding
The design and conduct of this study (PI14/01441) were supported by grants from the Instituto de Salud Carlos III (Plan Estatal de I+D+i 2013-2016), and co-financed by the European Development Regional Fund ‘‘A way to achieve Europe’’ (ERDF). This study was also supported by a grant from the Mutua Madrileña Foundation. ER was funded by Spanish Ministry of Economy (PTA 2014-09-496-I). MR was funded by Instituto de Salud Carlos III RedinRen RD12/0021/0020. All the miRNAs are covered by intellectual property laws: P200901825, P201130546, P201130545, P201132023, P201231999; PCT ES2010070579, PCT ES2012070858. ER and MLGB are inventors. Patents are temporally licensed to investors for validation studies.
Competing Interests
The authors have declared that no competing interests exist.
References
- Wolfe RA, Ashby VB, Milford EL, Ojo AO, Ettenger RE, Agodoa LY, et al. Comparison of mortality in all patients on dialysis, patients on dialysis awaiting transplantation, and recipients of a first cadaveric transplant. New Engl J Med. 1999; 341: 1725-1730. [CrossRef] [Google scholar] [PubMed]
- Griva K, Davenport A, Newman SP. Health-related quality of life and long-term survival and graft failure in kidney transplantation: a 12-year follow-up study. Transplantation. 2013; 95: 740-749. [CrossRef] [Google scholar] [PubMed]
- Johnston TD, Thacker LR, Jeon H, Lucas BA, Ranjan D. Sensitivity of expanded‐criteria donor kidneys to cold ischaemia time. Clin Transplant. 2004; 18: 28-32. [CrossRef] [Google scholar] [PubMed]
- Snoeijs MG, Winkens B, Heemskerk MB, Hoitsma AJ, Christiaans MH, Buurman WA, et al. Kidney transplantation from donors after cardiac death: a 25-year experience. Transplantation. 2010; 90: 1106-1112. [CrossRef] [Google scholar] [PubMed]
- Morrissey PE, Monaco AP. Donation after circulatory death: current practices, ongoing challenges, and potential improvements. Transplantation. 2014; 97: 258-264. [CrossRef] [Google scholar] [PubMed]
- Moers C, Smits JM, Maathuis M-HJ, Treckmann J, van Gelder F, Napieralski BP, et al. Machine perfusion or cold storage in deceased-donor kidney transplantation. New Engl J Med. 2009; 360: 7-19. [CrossRef] [Google scholar] [PubMed]
- Treckmann J, Moers C, Smits JM, Gallinat A, Maathuis MHJ, van Kasterop‐Kutz M, et al. Machine perfusion versus cold storage for preservation of kidneys from expanded criteria donors after brain death. Transpl Int. 2011; 24: 548-554. [CrossRef] [Google scholar] [PubMed]
- Revilla FB, Hevia V, Diez V, Carracedo D, Gomis A, Orosa A, et al., editors. Machine perfusion: initial results in an expanded criteria donor kidney transplant program. Tranplant Proc. 2015; 47: 19-22. [CrossRef] [Google scholar] [PubMed]
- Jochmans I, Moers C, Smits JM, Leuvenink HG, Treckmann J, Paul A, et al. Machine perfusion versus cold storage for the preservation of kidneys donated after cardiac death: a multicenter, randomized, controlled trial. Ann Surg. 2010; 252: 756-764. [CrossRef] [Google scholar] [PubMed]
- O'Callaghan J, Pall K, Pengel L. Supplemental oxygen during hypothermic kidney preservation: A systematic review. Transplant Rev. 2017; 31: 172-179. [CrossRef] [Google scholar] [PubMed]
- Schlegel A, Kron P, Dutkowski P. Hypothermic oxygenated liver perfusion: basic mechanisms and clinical application. Curr Transplant Rep. 2015; 2: 52-62. [CrossRef] [Google scholar] [PubMed]
- Kron P, Schlegel A, de Rougemont O, Oberkofler CE, Clavien P-A, Dutkowski P. Short, cool, and well oxygenated–HOPE for kidney transplantation in a rodent model. Ann Surg. 2016; 264: 815-822. [CrossRef] [Google scholar] [PubMed]
- Hosgood SA, Nicholson HF, Nicholson ML. Oxygenated kidney preservation techniques. Transplantation. 2012; 93: 455-459. [CrossRef] [Google scholar] [PubMed]
- Bhangoo RS, Hall IE, Reese PP, Parikh CR. Deceased-donor kidney perfusate and urine biomarkers for kidney allograft outcomes: a systematic review. Nephrol Dial Transpl. 2012; 27: 3305-3314. [CrossRef] [Google scholar] [PubMed]
- Gómez V, Orosa A, Rivera M, Diez-Nicolás V, Hevia V, Alvarez S, et al., editors. Resistance index determination in the pre and post kidney transplantation time points in graft dysfunction diagnosis. Transplant Proc. 2015; 47: 34-37. [CrossRef] [Google scholar] [PubMed]
- Jochmans I, Moers C, Smits J, Leuvenink H, Treckmann J, Paul A, et al. The prognostic value of renal resistance during hypothermic machine perfusion of deceased donor kidneys. Am J Transplant. 2011; 11: 2214-2220. [CrossRef] [Google scholar] [PubMed]
- Jochmans I, Pirenne J. Graft quality assessment in kidney transplantation: not an exact science yet! Curr Opin Organ Transplant. 2011; 16: 174-179. [CrossRef] [Google scholar] [PubMed]
- Lazeyras F, Buhler L, Vallee J-P, Hergt M, Nastasi A, Ruttimann R, et al. Detection of ATP by “in line” 31 P magnetic resonance spectroscopy during oxygenated hypothermic pulsatile perfusion of pigs’ kidneys. MAGMA. 2012; 25: 391-399. [CrossRef] [Google scholar] [PubMed]
- Aguado-Fraile E, Ramos E, Conde E, Rodríguez M, Liaño F, García-Bermejo ML. MicroRNAs in the kidney: novel biomarkers of acute kidney injury. Nefrologia. 2013; 33: 826-834. [Google scholar]
- Aguado-Fraile E, Ramos E, Conde E, Rodríguez M, Martín-Gómez L, Lietor A, et al. A pilot study identifying a set of microRNAs as precise diagnostic biomarkers of acute kidney injury. Plos One. 2015; 10: e0127175. [CrossRef] [Google scholar] [PubMed]
- Sáenz-Morales D, Conde E, Blanco-Sánchez I, Ponte B, Aguado-Fraile E, De Las Casas G, et al. Differential resolution of inflammation and recovery after renal ischemia–reperfusion injury in Brown Norway compared with Sprague Dawley rats. Kidney Int. 2010; 77: 781-793. [CrossRef] [Google scholar] [PubMed]
- Gomez V, Munoz E, Bermejo GL, Diez V, Carracedo D, Orosa A, et al. Mirnas profile throughout the sequence of isquemic lesion from donor to recipient. Prediction of renal graft outcome. Am J Transplant. 2014; 14: 366-367. [CrossRef] [Google scholar]
- Gallinat A, Paul A, Efferz P, Lüer B, Swoboda S, Hoyer D, et al. Role of oxygenation in hypothermic machine perfusion of kidneys from heart beating donors. Transplantation. 2012; 94: 809-813. [CrossRef] [Google scholar] [PubMed]
- ONT. Informe de actividad de donación y trasplante de donantes en asistolia. 2014:1-80. Available at: http://www.ont.es/infesp/Memorias/Memoria Donaci%25C3%25B3n en Asistolia.pdf. Accessed September 4, 2016.
- Hoyer DP, Gallinat A, Swoboda S, Wohlschlaeger J, Rauen U, Paul A, et al. Influence of oxygen concentration during hypothermic machine perfusion on porcine kidneys from donation after circulatory death. Transplantation. 2014; 98: 944-950. [CrossRef] [Google scholar] [PubMed]
- Thuillier R, Allain G, Celhay O, Hebrard W, Barrou B, Badet L, et al. Benefits of active oxygenation during hypothermic machine perfusion of kidneys in a preclinical model of deceased after cardiac death donors. J Surg Res. 2013; 184: 1174-1181. [CrossRef] [Google scholar] [PubMed]
- Lazeyras FBL Hergt M, Vallee J, et al. ATP resynthesis of pig kidneys during oxygenated hypothermic perfusion assessed by 31P CASINO. Magn Reson Mater Phy. 2008; 21(Suppl 1): 458. [Google scholar]
- Buchs J-B, Lazeyras F, Ruttimann R, Nastasi A, Morel P. Oxygenated hypothermic pulsatile perfusion versus cold static storage for kidneys from non heart-beating donors tested by in-line ATP resynthesis to establish a strategy of preservation. Perfusion. 2011; 26: 159-165. [CrossRef] [Google scholar] [PubMed]
- Lorenzen JM. Vascular and circulating microRNAs in renal ischaemia–reperfusion injury. J Physiol. 2015; 593: 1777-1784. [CrossRef] [Google scholar] [PubMed]
- Khalid U, Ablorsu E, Szabo L, Jenkins RH, Bowen T, Chavez R, et al. MicroRNA‐21 (miR‐21) expression in hypothermic machine perfusate may be predictive of early outcomes in kidney transplantation. Clin Transplant. 2016; 30: 99-104. [CrossRef] [Google scholar] [PubMed]
- Godwin JG, Ge X, Stephan K, Jurisch A, Tullius SG, Iacomini J. Identification of a microRNA signature of renal ischemia reperfusion injury. Proc Natl Acad Sci U S A. 2010; 107: 14339-14344. [CrossRef] [Google scholar] [PubMed]


